
Os Filtros industriais são dispositivos que desempenham um papel crucial na manutenção da integridade e desempenho dos sistemas industriais. Eles são projetados para remover partículas sólidas, impurezas, e até mesmo líquidos indesejados de fluxos de ar, líquidos ou gases, dependendo da aplicação. A presença dessas partículas pode causar danos a equipamentos sensíveis, como bombas, válvulas, compressores e trocadores de calor, além de prejudicar a qualidade do produto final, quando aplicável.
Em muitas indústrias, como a petroquímica, a farmacêutica e a alimentícia, a eficiência de filtração não é apenas uma questão de performance do sistema, mas também de segurança e conformidade com normas ambientais e de saúde. A presença de partículas ou contaminantes pode resultar não apenas em falhas mecânicas, mas também em riscos operacionais, como vazamentos ou contaminação do produto final, afetando diretamente a qualidade e a segurança.
Principais Funções dos Filtros Industriais
- Proteção de Equipamentos: Elas evitam que partículas indesejadas cheguem a bombas, compressores e outros dispositivos sensíveis, prevenindo falhas e aumento de desgaste.
- Manutenção da Qualidade do Fluido: Em processos industriais como alimentação de caldeiras, circuitos hidráulicos e sistemas de ar comprimido, os filtros industriais garantem que o fluido circulante esteja livre de impurezas que poderiam afetar a eficiência do processo.
- Prevenção de Corrosão: Em sistemas que transportam líquidos corrosivos ou gases, a filtragem impede que partículas sólidas danifiquem as superfícies metálicas ou entupam as válvulas de controle e outros componentes.
Tipos de Filtros industrias
Filtro Y

🔹 Descrição: Tem formato semelhante à letra “Y” e é equipada com um elemento filtrante (geralmente em aço inox ou tela metálica) que pode ser removido e limpo.
🔹 Aplicação: Usada para filtrar sólidos em sistemas de água, óleo, ar comprimido e gases industriais.
🔹 Vantagens: Compacta, fácil de instalar e ideal para aplicações de baixa vazão.
Filtro Cesto

🔹 Descrição: Possui um elemento filtrante em forma de cesta ou cesto, que pode ser trocado ou limpo facilmente.
🔹 Aplicação: Usada em sistemas com maior vazão ou com mais impurezas, como em refinarias ou processos industriais de grande escala.
🔹 Vantagens: Alta capacidade de retenção de partículas e manutenção simples.
Onde os Filtros Industriais são usados?
- Indústria Química e Petroquímica: Para filtrar impurezas de processos químicos e fluidos.
- Sistemas Hidráulicos e Pneumáticos: Para proteger bombas e válvulas contra partículas que podem danificar os componentes.
- Tratamento de Água: Para purificar água potável e para sistemas de irrigação.
- Indústria Alimentícia e Farmacêutica: Para garantir que os produtos e os processos não sejam contaminados por partículas.
Dimensionamento da tela de filtragem

O dimensionamento da tela de filtragem em filtros industriais é um processo crítico, pois ele depende de vários fatores que garantem a eficiência da filtração e a longevidade do sistema. O objetivo principal é escolher uma tela que consiga reter as partículas sólidas sem comprometer o fluxo do fluido ou causar sobrecarga no sistema de bombeamento. O dimensionamento envolve as seguintes etapas e considerações:
- Tipo e Tamanho das Partículas a Serem Filtradas
- Tamanho das partículas: A tela de filtragem é escolhida com base no tamanho das partículas que precisam ser removidas. A abertura da tela (ou malha) é definida em micrômetros (µm) e deve ser pequena o suficiente para capturar as partículas desejadas, sem impedir o fluxo do fluido.
- Tipo de partícula: O tipo de partícula, como sólido, líquido ou uma mistura, pode influenciar o tipo de material e a densidade da tela. Algumas partículas podem ter características abrasivas, exigindo uma tela mais resistente, enquanto outras podem ser facilmente removidas com uma malha mais fina.
- Taxa de Fluxo (Vazão)
- O filtro deve ser dimensionado para permitir que o fluido flua a uma taxa desejada (vazão), sem que a pressão caia excessivamente. A relação entre a área da tela e a vazão é crítica. Se a tela for muito pequena ou a malha muito densa, a resistência ao fluxo aumentará, levando a uma queda de pressão maior.
- A fórmula básica para a determinação da área da tela em relação à vazão é:

A velocidade do fluido (v) na tela deve ser controlada para evitar o entupimento ou desgaste precoce da tela.
- Material da Tela de Filtragem
- O material da tela é escolhido com base nas propriedades do fluido e no ambiente de operação. Alguns dos materiais comuns incluem aço inoxidável, nylon, poliéster, e materiais metálicos revestidos para resistir à corrosão ou desgaste.
- A resistência à pressão, à temperatura e à abrasividade do fluido também devem ser levadas em consideração.
- Espessura da Tela e a Abertura (Malha)
- A espessura da tela e o tamanho da abertura da malha são interdependentes. A tela precisa ser fina o suficiente para filtrar partículas de tamanho adequado, mas também forte o suficiente para suportar a pressão interna do sistema.
- O número de fios por polegada ou a abertura da malha é especificado, com telas de alta malha (fios mais finos e mais densos) sendo usadas para capturar partículas menores.
- Pressão e Temperatura do Sistema
- A tela deve ser capaz de resistir às condições de pressão e temperatura do sistema. Se o filtro operar em pressões elevadas ou em ambientes com temperaturas extremas, o material da tela deve ser dimensionado adequadamente para evitar deformações ou falhas.
- Área de Filtragem
- O cálculo da área de filtragem leva em consideração a necessidade de ter espaço suficiente para que as partículas se acumulem sem bloquear rapidamente a tela. Para isso, a tela deve ter uma área de filtragem suficiente para lidar com o fluxo de fluido sem que a pressão do sistema seja afetada drasticamente.
- Tipo de Fluxo (Fluxo Pressurizado ou a Vácuo)
- Dependendo de como o fluido flui (pressurizado ou por vácuo), o filtro pode ser projetado de forma diferente. Em sistemas pressurizados, por exemplo, pode ser necessário um projeto mais robusto para suportar a pressão interna.
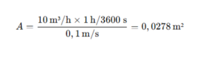
Exemplo de Dimensionamento
- Se você tem uma vazão de 10 m³/h e deseja um fluxo de 0,1 m/s através da tela, a área necessária seria calculada da seguinte maneira:

- Isso significa que a área total da tela de filtragem precisa ser de 0,0278 m² para essa vazão e velocidade do fluido. Em termos de malha, pode-se selecionar o tamanho e a densidade dos fios para garantir que a tela filtre as partículas desejadas sem obstruir o fluxo.
- Manutenção e Substituição
- Por fim, o dimensionamento também deve considerar a facilidade de limpeza ou substituição da tela. Filtros com telas muito finas podem entupir rapidamente, necessitando de manutenção frequente, o que pode ser um fator a ser considerado, dependendo do tipo de fluido e da quantidade de partículas contaminantes presentes.
Esse processo garante que o filtro opere de maneira eficaz, minimizando riscos de danos aos equipamentos e mantendo a eficiência do sistema.
Referências bibliográficas
- CHERYAN, Munir. Ultrafiltration and Microfiltration Handbook. CRC Press, 1998.
- RICHARDSON, J.F.; HARKER, J.H.; BACKHURST, J.R. Coulson and Richardson’s Chemical Engineering: Volume 2 – Particle Technology and Separation Processes. 5ª ed. Elsevier, 2002.
- PERRY, R.H.; GREEN, D.W. Perry’s Chemical Engineers’ Handbook. 8ª ed. McGraw-Hill, 2007.
- BRASFAIBER. “Filtro de Manga – Dimensionamento”. Disponível em: https://www.brasfaiber.com.br/blog/filtro-de-manga-dimensionamento. Acesso em: 12/02/25.
- AIRLINK FILTROS. “Filtros Industriais e suas Aplicações”. Disponível em: https://www.airlinkfiltros.com.br/artigos/filtros-industriais-e-suas-aplicacoes. Acesso em: 12/02/25.